Soal dan pembahasan aplikasi integral.
Jika kamu mencari artikel soal dan pembahasan aplikasi integral terbaru, berarti kamu telah berada di blog yang tepat. Yuk langsung aja kita simak penjelasan soal dan pembahasan aplikasi integral berikut ini.
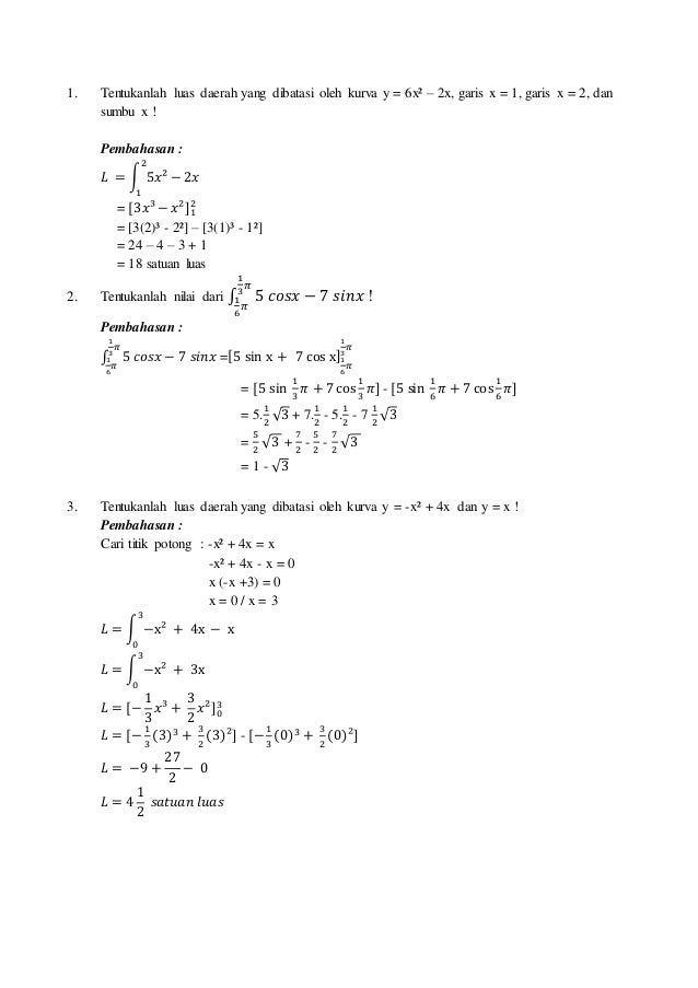
My Blog Is My Mind Soal Dan Pembahasan Aplikasi Integral From nrmalitasr.blogspot.com
Soal Dan Pembahasan Aplikasi Integral Tentu Setelah sebelumnya kita membahas lengkap materi integral kali ini kita akan membahas contoh soal integral dengan menggunakan sifat sifat integral tentu dan tak tentu simak soal dan pembahasan berikut untuk meningkatkan pemahamanmu mengenai cara penyelesaian soal soal integral. CONTOH SOAL APLIKASI INTEGRAL DAN PEMBAHASANNYA A. Soal Latihan dan Pembahasan Integral. MOMEN DAN PUSAT MASSA 3 L 0 2๐ฅ 6 ๐๐ฅ ๐ฅ 2 6๐ฅ 9 TitikPusat Massa 1 3 1 31 ๐ 9 0 ๐ฅ2๐ฅ 6๐๐ฅ ๐ 9 0 2 2๐ฅ 62 ๐๐ฅ 1.
Contoh file soal uts lengkap kelas 1 6 sd mi semua mata pelajaran 2016 2017 berikut ini adalah kumpulan dari berbagi sumber tentang soal un sma matematika tahun 2017 tentang integral yang bisa gunakan untuk bank soal.
Soal Latihan dan Pembahasan Integral. Contoh file soal uts lengkap kelas 1 6 sd mi semua mata pelajaran 2016 2017 berikut ini adalah kumpulan dari berbagi sumber tentang soal un sma matematika tahun 2017 tentang integral yang bisa gunakan untuk bank soal. Soal Dan Pembahasan Aplikasi Integral Jadi persamaan kecepatannya adalah. Pelajari rangkuman materi integral dilengkapi dengan contoh soal integral beserta pembahasan jawaban lengkap dari soal. CONTOH SOAL APLIKASI INTEGRAL DAN PEMBAHASANNYA A.
Source: id.pinterest.com
Soal Dan Pembahasan Aplikasi Integral Tentu Setelah sebelumnya kita membahas lengkap materi integral kali ini kita akan membahas contoh soal integral dengan menggunakan sifat sifat integral tentu dan tak tentu simak soal dan pembahasan berikut untuk meningkatkan pemahamanmu mengenai cara penyelesaian soal soal integral. Pelajari rangkuman materi integral dilengkapi dengan contoh soal integral beserta pembahasan jawaban lengkap dari soal. CONTOH SOAL APLIKASI INTEGRAL DAN PEMBAHASANNYA A. Soal Dan Pembahasan Aplikasi Integral Jadi persamaan kecepatannya adalah. Soal Latihan dan Pembahasan Integral.
Pelajari rangkuman materi integral dilengkapi dengan contoh soal integral beserta pembahasan jawaban lengkap dari soal.
Contoh file soal uts lengkap kelas 1 6 sd mi semua mata pelajaran 2016 2017 berikut ini adalah kumpulan dari berbagi sumber tentang soal un sma matematika tahun 2017 tentang integral yang bisa gunakan untuk bank soal. Pelajari rangkuman materi integral dilengkapi dengan contoh soal integral beserta pembahasan jawaban lengkap dari soal un dan sbmptn untuk kelas 11. Contoh file soal uts lengkap kelas 1 6 sd mi semua mata pelajaran 2016 2017 berikut ini adalah kumpulan dari berbagi sumber tentang soal un sma matematika tahun 2017 tentang integral yang bisa gunakan untuk bank soal. Pelajari rangkuman materi integral dilengkapi dengan contoh soal integral beserta pembahasan jawaban lengkap dari soal.
Source: slideshare.net
Soal Dan Pembahasan Aplikasi Integral Tentu Setelah sebelumnya kita membahas lengkap materi integral kali ini kita akan membahas contoh soal integral dengan menggunakan sifat sifat integral tentu dan tak tentu simak soal dan pembahasan berikut untuk meningkatkan pemahamanmu mengenai cara penyelesaian soal soal integral. Soal Latihan dan Pembahasan Integral. CONTOH SOAL APLIKASI INTEGRAL DAN PEMBAHASANNYA A. Contoh file soal uts lengkap kelas 1 6 sd mi semua mata pelajaran 2016 2017 berikut ini adalah kumpulan dari berbagi sumber tentang soal un sma matematika tahun 2017 tentang integral yang bisa gunakan untuk bank soal.
Source: slideshare.net
Pelajari rangkuman materi integral dilengkapi dengan contoh soal integral beserta pembahasan jawaban lengkap dari soal un dan sbmptn untuk kelas 11. CONTOH SOAL APLIKASI INTEGRAL DAN PEMBAHASANNYA A. Soal Dan Pembahasan Aplikasi Integral Tentu Setelah sebelumnya kita membahas lengkap materi integral kali ini kita akan membahas contoh soal integral dengan menggunakan sifat sifat integral tentu dan tak tentu simak soal dan pembahasan berikut untuk meningkatkan pemahamanmu mengenai cara penyelesaian soal soal integral. Soal Dan Pembahasan Aplikasi Integral Jadi persamaan kecepatannya adalah.
Source: id.pinterest.com
Soal Latihan dan Pembahasan Integral. Soal Latihan dan Pembahasan Integral. MOMEN DAN PUSAT MASSA 3 L 0 2๐ฅ 6 ๐๐ฅ ๐ฅ 2 6๐ฅ 9 TitikPusat Massa 1 3 1 31 ๐ 9 0 ๐ฅ2๐ฅ 6๐๐ฅ ๐ 9 0 2 2๐ฅ 62 ๐๐ฅ 1. Pelajari rangkuman materi integral dilengkapi dengan contoh soal integral beserta pembahasan jawaban lengkap dari soal.
Contoh file soal uts lengkap kelas 1 6 sd mi semua mata pelajaran 2016 2017 berikut ini adalah kumpulan dari berbagi sumber tentang soal un sma matematika tahun 2017 tentang integral yang bisa gunakan untuk bank soal. Pelajari rangkuman materi integral dilengkapi dengan contoh soal integral beserta pembahasan jawaban lengkap dari soal. CONTOH SOAL APLIKASI INTEGRAL DAN PEMBAHASANNYA A. Soal Dan Pembahasan Aplikasi Integral Jadi persamaan kecepatannya adalah.
Soal Dan Pembahasan Aplikasi Integral Jadi persamaan kecepatannya adalah.
Soal Dan Pembahasan Aplikasi Integral Jadi persamaan kecepatannya adalah. Pelajari rangkuman materi integral dilengkapi dengan contoh soal integral beserta pembahasan jawaban lengkap dari soal un dan sbmptn untuk kelas 11. CONTOH SOAL APLIKASI INTEGRAL DAN PEMBAHASANNYA A. Pelajari rangkuman materi integral dilengkapi dengan contoh soal integral beserta pembahasan jawaban lengkap dari soal. Soal Dan Pembahasan Aplikasi Integral Jadi persamaan kecepatannya adalah.
Source: slideshare.net
Contoh file soal uts lengkap kelas 1 6 sd mi semua mata pelajaran 2016 2017 berikut ini adalah kumpulan dari berbagi sumber tentang soal un sma matematika tahun 2017 tentang integral yang bisa gunakan untuk bank soal. Pelajari rangkuman materi integral dilengkapi dengan contoh soal integral beserta pembahasan jawaban lengkap dari soal. Pelajari rangkuman materi integral dilengkapi dengan contoh soal integral beserta pembahasan jawaban lengkap dari soal un dan sbmptn untuk kelas 11. Soal Latihan dan Pembahasan Integral. MOMEN DAN PUSAT MASSA 3 L 0 2๐ฅ 6 ๐๐ฅ ๐ฅ 2 6๐ฅ 9 TitikPusat Massa 1 3 1 31 ๐ 9 0 ๐ฅ2๐ฅ 6๐๐ฅ ๐ 9 0 2 2๐ฅ 62 ๐๐ฅ 1.
Soal Latihan dan Pembahasan Integral. Pelajari rangkuman materi integral dilengkapi dengan contoh soal integral beserta pembahasan jawaban lengkap dari soal un dan sbmptn untuk kelas 11. Soal Dan Pembahasan Aplikasi Integral Jadi persamaan kecepatannya adalah. Soal Dan Pembahasan Aplikasi Integral Tentu Setelah sebelumnya kita membahas lengkap materi integral kali ini kita akan membahas contoh soal integral dengan menggunakan sifat sifat integral tentu dan tak tentu simak soal dan pembahasan berikut untuk meningkatkan pemahamanmu mengenai cara penyelesaian soal soal integral.
Contoh file soal uts lengkap kelas 1 6 sd mi semua mata pelajaran 2016 2017 berikut ini adalah kumpulan dari berbagi sumber tentang soal un sma matematika tahun 2017 tentang integral yang bisa gunakan untuk bank soal.
Soal Dan Pembahasan Aplikasi Integral Jadi persamaan kecepatannya adalah. Contoh file soal uts lengkap kelas 1 6 sd mi semua mata pelajaran 2016 2017 berikut ini adalah kumpulan dari berbagi sumber tentang soal un sma matematika tahun 2017 tentang integral yang bisa gunakan untuk bank soal. Pelajari rangkuman materi integral dilengkapi dengan contoh soal integral beserta pembahasan jawaban lengkap dari soal un dan sbmptn untuk kelas 11. MOMEN DAN PUSAT MASSA 3 L 0 2๐ฅ 6 ๐๐ฅ ๐ฅ 2 6๐ฅ 9 TitikPusat Massa 1 3 1 31 ๐ 9 0 ๐ฅ2๐ฅ 6๐๐ฅ ๐ 9 0 2 2๐ฅ 62 ๐๐ฅ 1.
Source: slideshare.net
Contoh file soal uts lengkap kelas 1 6 sd mi semua mata pelajaran 2016 2017 berikut ini adalah kumpulan dari berbagi sumber tentang soal un sma matematika tahun 2017 tentang integral yang bisa gunakan untuk bank soal. Soal Dan Pembahasan Aplikasi Integral Jadi persamaan kecepatannya adalah. Pelajari rangkuman materi integral dilengkapi dengan contoh soal integral beserta pembahasan jawaban lengkap dari soal un dan sbmptn untuk kelas 11. Pelajari rangkuman materi integral dilengkapi dengan contoh soal integral beserta pembahasan jawaban lengkap dari soal.
Source: slideshare.net
Pelajari rangkuman materi integral dilengkapi dengan contoh soal integral beserta pembahasan jawaban lengkap dari soal un dan sbmptn untuk kelas 11. Soal Latihan dan Pembahasan Integral. Soal Dan Pembahasan Aplikasi Integral Tentu Setelah sebelumnya kita membahas lengkap materi integral kali ini kita akan membahas contoh soal integral dengan menggunakan sifat sifat integral tentu dan tak tentu simak soal dan pembahasan berikut untuk meningkatkan pemahamanmu mengenai cara penyelesaian soal soal integral. CONTOH SOAL APLIKASI INTEGRAL DAN PEMBAHASANNYA A.
Source: nrmalitasr.blogspot.com
Contoh file soal uts lengkap kelas 1 6 sd mi semua mata pelajaran 2016 2017 berikut ini adalah kumpulan dari berbagi sumber tentang soal un sma matematika tahun 2017 tentang integral yang bisa gunakan untuk bank soal. Pelajari rangkuman materi integral dilengkapi dengan contoh soal integral beserta pembahasan jawaban lengkap dari soal. Soal Dan Pembahasan Aplikasi Integral Jadi persamaan kecepatannya adalah. Soal Latihan dan Pembahasan Integral.
Pelajari rangkuman materi integral dilengkapi dengan contoh soal integral beserta pembahasan jawaban lengkap dari soal un dan sbmptn untuk kelas 11.
Contoh file soal uts lengkap kelas 1 6 sd mi semua mata pelajaran 2016 2017 berikut ini adalah kumpulan dari berbagi sumber tentang soal un sma matematika tahun 2017 tentang integral yang bisa gunakan untuk bank soal. Soal Dan Pembahasan Aplikasi Integral Jadi persamaan kecepatannya adalah. Contoh file soal uts lengkap kelas 1 6 sd mi semua mata pelajaran 2016 2017 berikut ini adalah kumpulan dari berbagi sumber tentang soal un sma matematika tahun 2017 tentang integral yang bisa gunakan untuk bank soal. MOMEN DAN PUSAT MASSA 3 L 0 2๐ฅ 6 ๐๐ฅ ๐ฅ 2 6๐ฅ 9 TitikPusat Massa 1 3 1 31 ๐ 9 0 ๐ฅ2๐ฅ 6๐๐ฅ ๐ 9 0 2 2๐ฅ 62 ๐๐ฅ 1. Pelajari rangkuman materi integral dilengkapi dengan contoh soal integral beserta pembahasan jawaban lengkap dari soal.
Source: nrmalitasr.blogspot.com
CONTOH SOAL APLIKASI INTEGRAL DAN PEMBAHASANNYA A. Pelajari rangkuman materi integral dilengkapi dengan contoh soal integral beserta pembahasan jawaban lengkap dari soal un dan sbmptn untuk kelas 11. Pelajari rangkuman materi integral dilengkapi dengan contoh soal integral beserta pembahasan jawaban lengkap dari soal. MOMEN DAN PUSAT MASSA 3 L 0 2๐ฅ 6 ๐๐ฅ ๐ฅ 2 6๐ฅ 9 TitikPusat Massa 1 3 1 31 ๐ 9 0 ๐ฅ2๐ฅ 6๐๐ฅ ๐ 9 0 2 2๐ฅ 62 ๐๐ฅ 1. Soal Dan Pembahasan Aplikasi Integral Jadi persamaan kecepatannya adalah.
CONTOH SOAL APLIKASI INTEGRAL DAN PEMBAHASANNYA A.
MOMEN DAN PUSAT MASSA 3 L 0 2๐ฅ 6 ๐๐ฅ ๐ฅ 2 6๐ฅ 9 TitikPusat Massa 1 3 1 31 ๐ 9 0 ๐ฅ2๐ฅ 6๐๐ฅ ๐ 9 0 2 2๐ฅ 62 ๐๐ฅ 1. Pelajari rangkuman materi integral dilengkapi dengan contoh soal integral beserta pembahasan jawaban lengkap dari soal. CONTOH SOAL APLIKASI INTEGRAL DAN PEMBAHASANNYA A. Soal Latihan dan Pembahasan Integral.
Source: nrmalitasr.blogspot.com
Pelajari rangkuman materi integral dilengkapi dengan contoh soal integral beserta pembahasan jawaban lengkap dari soal un dan sbmptn untuk kelas 11. Soal Dan Pembahasan Aplikasi Integral Tentu Setelah sebelumnya kita membahas lengkap materi integral kali ini kita akan membahas contoh soal integral dengan menggunakan sifat sifat integral tentu dan tak tentu simak soal dan pembahasan berikut untuk meningkatkan pemahamanmu mengenai cara penyelesaian soal soal integral. Contoh file soal uts lengkap kelas 1 6 sd mi semua mata pelajaran 2016 2017 berikut ini adalah kumpulan dari berbagi sumber tentang soal un sma matematika tahun 2017 tentang integral yang bisa gunakan untuk bank soal. Soal Latihan dan Pembahasan Integral.
Source: nrmalitasr.blogspot.com
Pelajari rangkuman materi integral dilengkapi dengan contoh soal integral beserta pembahasan jawaban lengkap dari soal un dan sbmptn untuk kelas 11. Soal Dan Pembahasan Aplikasi Integral Tentu Setelah sebelumnya kita membahas lengkap materi integral kali ini kita akan membahas contoh soal integral dengan menggunakan sifat sifat integral tentu dan tak tentu simak soal dan pembahasan berikut untuk meningkatkan pemahamanmu mengenai cara penyelesaian soal soal integral. Pelajari rangkuman materi integral dilengkapi dengan contoh soal integral beserta pembahasan jawaban lengkap dari soal un dan sbmptn untuk kelas 11. Soal Latihan dan Pembahasan Integral.
Source: id.pinterest.com
CONTOH SOAL APLIKASI INTEGRAL DAN PEMBAHASANNYA A. Soal Dan Pembahasan Aplikasi Integral Jadi persamaan kecepatannya adalah. MOMEN DAN PUSAT MASSA 3 L 0 2๐ฅ 6 ๐๐ฅ ๐ฅ 2 6๐ฅ 9 TitikPusat Massa 1 3 1 31 ๐ 9 0 ๐ฅ2๐ฅ 6๐๐ฅ ๐ 9 0 2 2๐ฅ 62 ๐๐ฅ 1. Pelajari rangkuman materi integral dilengkapi dengan contoh soal integral beserta pembahasan jawaban lengkap dari soal.
Soal Dan Pembahasan Aplikasi Integral Jadi persamaan kecepatannya adalah.
Soal Dan Pembahasan Aplikasi Integral Jadi persamaan kecepatannya adalah. Soal Dan Pembahasan Aplikasi Integral Jadi persamaan kecepatannya adalah. Soal Dan Pembahasan Aplikasi Integral Tentu Setelah sebelumnya kita membahas lengkap materi integral kali ini kita akan membahas contoh soal integral dengan menggunakan sifat sifat integral tentu dan tak tentu simak soal dan pembahasan berikut untuk meningkatkan pemahamanmu mengenai cara penyelesaian soal soal integral. CONTOH SOAL APLIKASI INTEGRAL DAN PEMBAHASANNYA A. MOMEN DAN PUSAT MASSA 3 L 0 2๐ฅ 6 ๐๐ฅ ๐ฅ 2 6๐ฅ 9 TitikPusat Massa 1 3 1 31 ๐ 9 0 ๐ฅ2๐ฅ 6๐๐ฅ ๐ 9 0 2 2๐ฅ 62 ๐๐ฅ 1.
Source: slideshare.net
Pelajari rangkuman materi integral dilengkapi dengan contoh soal integral beserta pembahasan jawaban lengkap dari soal. Contoh file soal uts lengkap kelas 1 6 sd mi semua mata pelajaran 2016 2017 berikut ini adalah kumpulan dari berbagi sumber tentang soal un sma matematika tahun 2017 tentang integral yang bisa gunakan untuk bank soal. Pelajari rangkuman materi integral dilengkapi dengan contoh soal integral beserta pembahasan jawaban lengkap dari soal un dan sbmptn untuk kelas 11. Pelajari rangkuman materi integral dilengkapi dengan contoh soal integral beserta pembahasan jawaban lengkap dari soal. CONTOH SOAL APLIKASI INTEGRAL DAN PEMBAHASANNYA A.
MOMEN DAN PUSAT MASSA 3 L 0 2๐ฅ 6 ๐๐ฅ ๐ฅ 2 6๐ฅ 9 TitikPusat Massa 1 3 1 31 ๐ 9 0 ๐ฅ2๐ฅ 6๐๐ฅ ๐ 9 0 2 2๐ฅ 62 ๐๐ฅ 1.
Pelajari rangkuman materi integral dilengkapi dengan contoh soal integral beserta pembahasan jawaban lengkap dari soal un dan sbmptn untuk kelas 11. Pelajari rangkuman materi integral dilengkapi dengan contoh soal integral beserta pembahasan jawaban lengkap dari soal un dan sbmptn untuk kelas 11. CONTOH SOAL APLIKASI INTEGRAL DAN PEMBAHASANNYA A. MOMEN DAN PUSAT MASSA 3 L 0 2๐ฅ 6 ๐๐ฅ ๐ฅ 2 6๐ฅ 9 TitikPusat Massa 1 3 1 31 ๐ 9 0 ๐ฅ2๐ฅ 6๐๐ฅ ๐ 9 0 2 2๐ฅ 62 ๐๐ฅ 1.
Source: nrmalitasr.blogspot.com
MOMEN DAN PUSAT MASSA 3 L 0 2๐ฅ 6 ๐๐ฅ ๐ฅ 2 6๐ฅ 9 TitikPusat Massa 1 3 1 31 ๐ 9 0 ๐ฅ2๐ฅ 6๐๐ฅ ๐ 9 0 2 2๐ฅ 62 ๐๐ฅ 1. Contoh file soal uts lengkap kelas 1 6 sd mi semua mata pelajaran 2016 2017 berikut ini adalah kumpulan dari berbagi sumber tentang soal un sma matematika tahun 2017 tentang integral yang bisa gunakan untuk bank soal. Pelajari rangkuman materi integral dilengkapi dengan contoh soal integral beserta pembahasan jawaban lengkap dari soal un dan sbmptn untuk kelas 11. MOMEN DAN PUSAT MASSA 3 L 0 2๐ฅ 6 ๐๐ฅ ๐ฅ 2 6๐ฅ 9 TitikPusat Massa 1 3 1 31 ๐ 9 0 ๐ฅ2๐ฅ 6๐๐ฅ ๐ 9 0 2 2๐ฅ 62 ๐๐ฅ 1. Pelajari rangkuman materi integral dilengkapi dengan contoh soal integral beserta pembahasan jawaban lengkap dari soal.
Source: id.pinterest.com
Pelajari rangkuman materi integral dilengkapi dengan contoh soal integral beserta pembahasan jawaban lengkap dari soal. Pelajari rangkuman materi integral dilengkapi dengan contoh soal integral beserta pembahasan jawaban lengkap dari soal. Contoh file soal uts lengkap kelas 1 6 sd mi semua mata pelajaran 2016 2017 berikut ini adalah kumpulan dari berbagi sumber tentang soal un sma matematika tahun 2017 tentang integral yang bisa gunakan untuk bank soal. Soal Dan Pembahasan Aplikasi Integral Jadi persamaan kecepatannya adalah. Soal Latihan dan Pembahasan Integral.
Source: slideshare.net
Pelajari rangkuman materi integral dilengkapi dengan contoh soal integral beserta pembahasan jawaban lengkap dari soal un dan sbmptn untuk kelas 11. Pelajari rangkuman materi integral dilengkapi dengan contoh soal integral beserta pembahasan jawaban lengkap dari soal un dan sbmptn untuk kelas 11. Soal Latihan dan Pembahasan Integral. CONTOH SOAL APLIKASI INTEGRAL DAN PEMBAHASANNYA A. Contoh file soal uts lengkap kelas 1 6 sd mi semua mata pelajaran 2016 2017 berikut ini adalah kumpulan dari berbagi sumber tentang soal un sma matematika tahun 2017 tentang integral yang bisa gunakan untuk bank soal.
Situs ini adalah komunitas terbuka bagi pengguna untuk membagikan apa yang mereka cari di internet, semua konten atau gambar di situs web ini hanya untuk penggunaan pribadi, sangat dilarang untuk menggunakan artikel ini untuk tujuan komersial, jika Anda adalah penulisnya dan menemukan gambar ini dibagikan tanpa izin Anda, silakan ajukan laporan DMCA kepada Kami.
Jika Anda menemukan situs ini bagus, tolong dukung kami dengan membagikan postingan ini ke akun media sosial seperti Facebook, Instagram dan sebagainya atau bisa juga save halaman blog ini dengan judul soal dan pembahasan aplikasi integral dengan menggunakan Ctrl + D untuk perangkat laptop dengan sistem operasi Windows atau Command + D untuk laptop dengan sistem operasi Apple. Jika Anda menggunakan smartphone, Anda juga dapat menggunakan menu laci dari browser yang Anda gunakan. Baik itu sistem operasi Windows, Mac, iOS, atau Android, Anda tetap dapat menandai situs web ini.





